
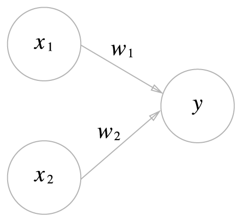
퍼셉트론
: 다수의 신호를 입력 받아 하나의 신호로 출력
: 복수 입력 신호 각각에 고유 가중치를 부여

원 모양 : 뉴런 or 노드
w : 가중치
| 가중치(w)란? : 각 신호가 결과에 주는 영향력을 조절하는 매개변수 : 가중치가 클수록 해당 신호가 그만큼 더 중요함을 의미한다. 편향(b)? : 뉴런(노드)이 얼마나 쉽게 활성화(결과로 1을 출력)하느냐를 조절하는 매개변수 |
논리 회로(진리표)

퍼셉트론 구현 (가중치,편향 포함)
1. AND
def AND(x1,x2):
x = np.array([x1,x2])
w = np.array([0.5, 0.5])
b = -0.7
tmp = np.sum(w*x)+b
if tmp <= 0:
return 0
else:
return 1
2. NAND
def NAND(x1,x2):
x = np.array([x1,x2])
w = np.array([-0.5, -0.5])
b = 0.7
tmp = np.sum(w*x)+b
if tmp <= 0:
return 0
else:
return 1
3. OR
def OR(x1,x2):
x = np.array([x1,x2])
w = np.array([0.5, 0.5])
b = -0.2
tmp = np.sum(w*x)+b
if tmp <= 0:
return 0
else:
return 1
퍼셉트론의 한계
: 퍼셉트론은 직선 하나로 나눈 영역만 표현할 수 있다는 한계가 있다. 즉, 곡선을 표현할 수 없다는 것이다.
: 그러므로 XOR 게이트 같은 경우에는 위에서 본 퍼셉트론으로는 구현하기 어렵다.
→ 하지만 다층 퍼셉트론(multi-layer-perceptron)을 활용하면 구현이 가능하다.

def XOR(x1,x2):
s1 = NAND(x1,x2)
s2 = OR(x1,x2)
y = AND(s1,s2)
return y'📙 Fundamentals > ML&DL' 카테고리의 다른 글
| 회귀 모델 | 로지스틱 회귀_Logistic Regression (0) | 2025.04.12 |
|---|---|
| 회귀 모델 | 단순 선형 회귀_Simple Linear Regression (0) | 2025.04.12 |
| 차원 축소 기법 : 주성분 분석(PCA) VS 요인 분석 (0) | 2025.04.07 |
| 앙상블(Ensemble) (0) | 2025.04.06 |
| 결정트리 : Information Gain, Entropy, Gini 계수, Misclassification Error (0) | 2025.04.06 |